Cementitious Material Curing
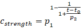
Curing in cement-stabilized materials only depends on time. At any given time of the service life, the material strength is increased from the 28-day value by a ratio determined by the following equation:
.png)
where cstrength is the curing factor for strength
p1 and p2 are model parameters,
t is the current time in months, and
t0 is the initial time at which the strength (either UCS or MOR) was determined.
This factor is used to calculate current UCS (unconfined compressive strength) or MOR (modulus of rupture):
![]()
![]()
where UCS28 is the 28-day UCS and MOR28 is the 28-day MOR. Although not used in CalME, the layer stiffness of cement-stabilized material can be correlated to UCS through the following equation:
![]()
where Ef is the flexural stiffness. Accordingly, the curing factor for stiffness can be determined using the following equation: