Asphalt fatigue damage
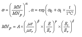
The model for damaged asphalt has the format:
.png)
Equation: Modulus of damaged asphalt.
where the damage, ω, is calculated from:
.gif)
Damage as a function of number of loads, strain, temperature, and modulus.
where MN is the number of load applications in millions,
με is the strain,
E is the (damaged) modulus,
Ei is the intact modulus,
t is temperature, and
A, α0, α1, β, γ, δ, μεr, and Er are constants.
The intact modulus, Ei, corresponds to a damage, ω, of 0 and the minimum modulus, Emin=10δ, to a damage of 1. The parameters of the damage function are determined from four-point, constant strain bending tests in the laboratory.
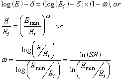
The master curve for damaged asphalt leads to:
.png)
Relations between moduli, stiffness reduction and damage.
It should be noticed that the relative decrease in modulus will depend on the minimum modulus, Emin, and on the initial modulus, Ei, which again is a function of temperature and loading time. Some examples are shown in the figure below, for Emin = 100 MPa and different values of Ei. A decrease in modulus by 50% would correspond to a damage between 0.15 and 0.30, depending on the initial modulus.
.png)
To predict in-situ damage from the laboratory test results, a shift factor, SF, is introduced:
.gif)
The shift factor is determined from the difference between laboratory fatigue tests and full scale testing (HVS and track tests), SFF, and the effects of rest periods:
.gif)
where Rp is the rest period,
tref and aT are master curve parameters,
h(t) is the viscosity at a temperature of t, and
Rpref and j are constants.
The default values of Rpref and j are 10 sec and 0.4, respectively.