Example 1
This section illustrates how to use CalFP-Web to find the designs for Example 1 listed in the Caltrans “Pavement Tech Notes: Flexible Pavement Design Examples - New Construction”, which can be found at the here. Screen shots of the problem and solution are shown below.
.png)
.png)
Step 0: Big Picture
Note that currently CalFP-Web and CalAC-Web are hosted on the website for CalME, which is a software for structural design, rehabilitation, and maintenance of flexible pavements using mechanistic-empirical method. CalME is under active development by the University of California Pavement Research Center (UCPRC).
Step 1: Define a Project and an Empty Trial
Navigate to the Projects tab by selecting the “Projects” menu at the top of the screen.
.png)
Click the “Add Project” button to bring up the project definition screen, and enter information as shown below (no need to use the exact words here). As one can see, this screen also asks for the title of a first trial, which is given as “Example 1” in this case. A “trial” represents a pavement design problem.
.png)
Click the “Save” button to return to the project tab and it should look like this:
.png)
Step 2: Define the Trial
As mentioned above, a “trial” here represents a pavement design problem. For CalFP-Web, the information needed for a design include the following:
•Design TI for a 20 year design life
•Pavement structure, which includes
•Subgrade type
•Subbase type
•Base type
•Surface type
The above information are entered in the input screen. Click the “Input->Project Information” menu item on top of the screen to navigate to the input screen, which is shown below:
.png)
As one can tell, CalME automatically enters project location, climate, traffic load distribution, growth rate, etc. This information does NOT affect the design so it can be left unchanged. It is recommended however to enter the correct project location.
Keep in mind that CalFP-Web only does 20 year design, per HDM. For this particular example, the design TI for 20 years is 12.5, and the two trial structures under consideration are:
aHMA, AB-Class 2, AS-Class 2
bHMA, CTB-B, AS-Class 2
The subgrade R-value is 10. Consider option (a) in the current trial, and enter the TI, and structure in the input screen as shown below:
.png)
Several Notes:
•All layers other than the subgrade has been set to 1.00 ft in thickness. This can be any positive number and does NOT affect the CalFP-Web result.
•There are multiple options for HMA layer, it is OK to pick any one from the list and it would NOT affect the CalFP-Web result.
•The subgrade R-value is 9 rather than 10. This needs to be modified.
Use the “Edit” link in the “Pavement Structure” grid for the subgrade layer to change the R-value to 10. The resulting input screen should look like the following:
.png)
Step 3: Run CalFP-Web
Select "Design->CalFP-Web" to navigate to the CalFP-Web tab:
.png)
Use the “Design” button at the lower left part of the screen to run CalFP-Web design. The list of valid options are then used to populate the grid at the lower left part of the screen. The result should look like the following:
.png)
The first option on the list is the one with minimum HMA thickness. In this particular case it is 0.65 ft HMA/1.00 ft AB-Class 2/1.40 ft AS-Class 2. This actually does NOT agree with the table shown in item (j) of the Caltrans example document. However, item (j) incorrectly summarizes the design. In fact, item (h) says the AB thickness is 1.0 ft, and item (i) says the AS thickness is 1.40 ft.
Step 4: Select a Design Option
Use the “Select” button in the grid to copy a particular design to the structure grid. The selected design will be highlighted in yellow.
.png)
Step 5: Generate a Design Report
Use the “Reports” button to bring up the report window. Choose “CalFP-Web” from the list at the top left corner of the window. Use the “Generate” button to generate the report, and the “Download Report” button at the top right of the window to download a PDF copy of the report.
.png)
Step 6: Define a Second Trial
Close the report window. Go to the project tab, use the “Save Trial As” button to save the trial “Example 1” as “Example 1-CTB option”. The screen shots are shown below.
.png)
Selecting the Save button will take you back to the Projects page and it should look like what is shown below:
.png)
Note that the “Example 1-CTB option” is now shown in the “Loaded Trial” drop down list, and it is highlighted in the list of trials.
Step 7: Update the Structure
Update the structure (select Input->Project Information) by changing the second layer to CTB-Class B. The resulting input tab should look like below:
.png)
Step 8: Run CalFP-Web for the CTB option
Same as in Step 3, run CalFP-Web to find a list of design options (see the screen shot below). The option with minimum thickness for HMA is: 0.6 ft HMA/1.0 ft CTB-Class B/1.40 ft AS-Class 2. Again this is inconsistent with the result in the Caltrans example. It was found that the Caltrans example did not properly account for the difference in R-value between AB-Class 2 and CTB-Class B.
.png)
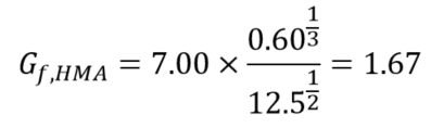
The HMA thickness should be slightly less because of the higher Gf for the CTB-B (80 vs. 78).
.png)
At 0.60 ft, the GF for thenHMA layer is:
.png)
The total GE it provides is:
![]()
Based on the above calculations, only 0.60 ft of HMA is needed when CTB-B is used. As shown in the Item (d) of the example manual for Example #2, only 0.60 ft HMA is needed for a 12.5 TI and it provides GE of 0.98 ft according to Table 633.1. The example manual is providing an incorrect design.