Permanent deformation of asphalt
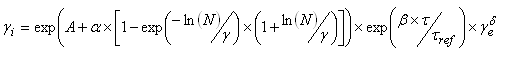
A shear-based approach for predicting rutting of the asphalt layer is used. The method was developed by Deacon et al. (2002). Rutting in the asphalt is assumed to be controlled by shear deformation. The permanent, or inelastic, shear strain, γi, is determined as a function of the shear stress,t , the elastic shear strain, ge, and the number of load repetitions, from Repeated Simple Shear Tests at Constant Height (RSST-CH) in the laboratory. The laboratory test data are fitted either using a power function:

or by using a gamma function:

where γe is the elastic shear strain,
t is the shear stress,
N is the number of load repetitions,
MN is the number of load repetitions in millions,
tref is a reference shear stress (0.1 MPa ≈ atmospheric pressure), and
A, α, β, γ, and d are constants determined from the RSST-CH.
The rut depth is calculated for the upper 100 mm of the AC layers. The shear stress is calculated at a depth of 50 mm beneath the edge of the tire. For each of the layers within 100 mm from the surface the elastic shear strain, ge = γxz, is calculated from:

where Ei is the modulus of layer i, and
ni is Poisson’s ratio for layer i.
Please notice that the xz shear strain is used, not the angular shear strain which is twice this value. The permanent shear strain of each layer is calculated from the power function or the gamma function, and the permanent deformation is determined from:
![]()
where hi is the thickness of layer i (above a depth of 100 mm), and
K is a calibration constant.
The total rut depth (down rut) in the AC is the sum of the permanent deformation of the layers within the top 100 mm of the AC.