Variability
It is possible to consider within section construction variability through a Monte Carlo simulation, and it is necessary to do this in order to calculate roughness. Checking the "Construction variability" checkbox opens a table for input of the variability.

For each simulation the program will select a random value from the distribution of each of the variable parameters.
For thickness the Coefficient of Variation (CoV) is entered. If a layer consists of several lifts the CoV on the total layer thickness will be the CoV on the individual lifts divided by the square root of the number of lifts.
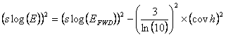
The distribution of layer moduli is assumed to be log-normal. The standard deviation factor (sdf) is 10 raised to the standard deviation of the logarithms of the moduli. If the moduli were imported from a CalBack database the sdf of the moduli are also imported. It should be recalled that the layer thicknesses are assumed to be constant during backcalculation, so that the resulting sdf on the moduli are, in reality, a function of both the thickness and the modulus variability. If the CoV of the thickness is known (or estimated) the actual sdf on the modulus may be estimated from the following equation (where s is for standard deviation):

where the standard deviation factor of E is sdfE = 10slog(E).
The first parameters in the relationships for permanent deformation, fatigue, and crushing are also assumed to be log-normally distributed. The default values are based on the variability of some laboratory tests.
It is also possible to include variability on the climate. In this case start of the simulation will be selected randomly from the 30 years of temperature data and the day used during each increment will also be selected randomly. For simulating a specific section of pavement the climate variability should not be included, as the climate will be the same for all points of the pavement. Finally traffic variability may be included, but this is for experimental reasons only and it is not recommended that this facility be used for design at the present time.