Asphaltic Fatigue and Reflective Cracking Damage
Asphaltic materials are subjected to fatigue damage and reflective cracking damage. The model for calculating both damages are the same except the critical strains are determined using different response models.
Fatigue and reflective cracking damage changes the stiffness mater curve independently. The damaged stiffness master curve has the following format:
.png)
where the damage, ω, is calculated from the following equation following the time hardening procedure:
.png)
where: MN is the number of load applications in millions,
MNp is the allowable number of load repetitions in millions,
is a material-dependent model parameter, and
SF is the shift factor used to account for difference between laboratory and in-situ conditions.
The shift factor is determined from the difference between laboratory fatigue tests and full scale testing (HVS and track tests).
Damage as a function of number of loads, strain, temperature, and modulus. MNp is calculated in turn using the following equation:
![]()
where:
= the critical strain, negative for tensile,
= -200 microstrain is the reference bending tensile strain,
E is the damage stiffness,
Eref = 3,000 MPa (435 ksi) is the reference stiffness, and
A and β are material constants.
The critical strain for fatigue damage is the longitudinal bending strain at the bottom of the combined asphaltic layer in microstrain under the center of one of the tire for fatigue damage. The critical strain for reflective cracking damage is the average first principle strain (in tension) along the vertical direction for the area within 0.4" (10 mm) of the crack/joint tip.
The parameters of the damage function are determined from four-point, constant strain bending tests in the laboratory.
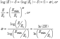
The intact modulus, Ei, corresponds to a damage, ω, of 0 and the minimum modulus, Emin=10δ, to a damage of 1.
The master curve for damaged asphalt leads to:
.png)
where .SR is the residual stiffness ratio.
It should be noticed that the relative decrease in modulus will depend on the minimum modulus, Emin, and on the initial modulus, Ei, which again is a function of temperature and loading time. Some examples are shown in the figure below, for Emin = 100 MPa and different values of Ei. A decrease in modulus by 50% would correspond to a damage between 0.15 and 0.30, depending on the initial modulus.
.png)