Cementitious Material Fatigue Damage
Bottom-up fatigue damage in cementitiously stabilized materials is driven by the tensile stress at the bottom of the layer. The model for fatigue life is:
.png)
where Nft is the fatigue life, k1, k2 and k3 are model parameters, st is the tensile stress in the transverse direction, and MOR is the current modulus of rupture after accounting for curing. Once the fatigue life is determined for each axle load, the fatigue damage is accumulated following Miner’s Law:
.png)
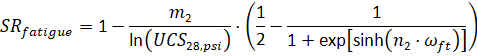
where wft is the fatigue damage, Ni is the number of passes for the ith axle load, and Nfti is the crushing life corresponding the ith axle load. The stiffness is then reduced by the following ratio:
.png)
where SRfatigue is the stiffness ratio due to fatigue damage, m2 and n2 are model parameters that depend on the material type, UCS28,psi is the 28-day UCS in psi, and wft is the crushing damage. Damage is updated after every set of loads following the incremental-recursive procedure in CalME.