Fatigue Cracking
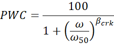
Once the fatigue damage is determined, the percent of wheelpath cracked, denoted as PWC, can be calculated using the following equation:
.png)
where w50 is the critical damage corresponding to 50% of surface cracking, and
bcrk is the shape parameter.
Both critical damage and shape parameter are determined through field calibration, and each may depend on additional factors such as pavement structure type, climate condition, HMA layer thickness. w50 also represents the fatigue damage corresponding to 50 percent wheelpath cracking based on the form of the equation. The following figure illustrates the correlation between fatigue damage and percent wheelpath cracking. This equation is the transfer function for the fatigue cracking model used in CalME. Note that this equation is essentially a recast of one used in CalME v2.0.
Each of the asphaltic layer has a calculated fatigue damage. Only the one for the top layer is used to calculate fatigue cracking.
.png)
An example of the transfer function for fatigue damage,
and
.