Calibration of Between Project Variability
Between project variability (BPV) is tied to the range of performances of similar projects within the network: the higher the BPV, the wider the range. Specifically, the median service life tmp, defined as the time when 50% of the project fails, can be determined for each project in the network based on the observed performance history. An empirical cumulative distribution function (CDF) for tmp can in-turn be developed. The empirical CDF can then be used to determine various quantiles for the median service life.
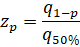
One way of quantifying BPV is to use the ratio between different quantiles, in particular, the following ratio is used in CalME:
![]()
where qx is the x-th quantile,
q50% is the 50% quantile (i.e., the median), and
zp is the performance multiplier for reliability level of p (in percent)
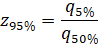
The performance multiplier can be determined for various reliability levels. For example, a performance multiplier for 95% reliability level is:
![]()
This multiplier can be used to convert a prediction median performance into a performance with 95% reliability. For example, if the predicted median cracking life of a pavement is 30 years, and z95% is 0.10, the design life corresponding to 95% reliability is 0.10 * 30 = 3.0 years.
The way to account for BPV then lies in determining the empirical CDF for the median service life from network level performance data, and find the performance multiplier for the desired design reliability level. Figure 1 shows the empirical CDF of the performance normalized by the time to median performance (i.e., q50%) for the sub-network of new flexible pavement with aggregate base. According to the figure, z95% is determined to be 0.10.
.png)
Figure 1: Distribution of relative performance factor for each asphalt concrete surface thickness for the sub-network of new flexible pavements with aggregate base (hAC is the combined thickness of the AC layers)