Critical Strain for Reflective Cracking
AC on AC
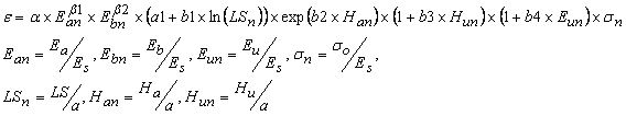
The regression equation for tensile strain at the bottom of an AC overlay on a cracked AC pavement is based on a large number of finite element calculations, and assumes a dual wheel on a single axle:

where Ea is the modulus of the overlay,
Ha is the thickness of the overlay,
Eu is the modulus of the underlayer,
Hu is the thickness of the underlayer,
Eb is the modulus of the base/sub-base,
Es is the modulus of the subgrade,
LS is the crack spacing,
so is the tire pressure, and
a is the radius of the loaded area for one wheel.
The following constants were used:
α = 342650, β1 = -0.73722, β2 = -0.2645, β3 = -1.16472, a1 = 0.88432,
b1 = 0.15272, b2 = -0.21632, b3 = -0.061, b4 = 0.018752.
AC on PCC
Reflection of cracking through an AC layer on a PCC support was also determined through a large number of finite element calculations. The equations and parameters used for AC on PCC are given in AC on PCC Strain Calculator.xls.
One of the key input is the k-value of the layers below the PCC layer. It is determined by conducting a virtual plate test on top of the layer below the PCC layer with a standard load of 40 kN on a 375 mm raius plate. The deflection is calculated using multilayer elastic theory. The k-value is in turn calculated using the same equation as the one used for actual plate load test.