Fatigue damage parameters
The fatigue damage parameters may be determined from four point, constant strain fatigue tests.
Parameters determined from a number of calibration studies are shown in an Excel spreadsheet called FatigueDamageParameters.xls
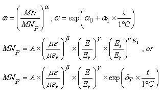
The parameters in the spreadsheet are from the equations below:

The last format for MNp was used for some early calibration of HVS tests, and is not presently supported by CalME.