Reflection cracking
Reflection cracking damage is calculated using the method developed by Wu (2005). In this method the tensile strain at the bottom of the overlay is estimated using a regression equation. The calculated tensile strain at the bottom of the overlay is used with the fatigue equation described in Asphalt fatigue damage to calculate damage in the asphalt layers.
AC on AC
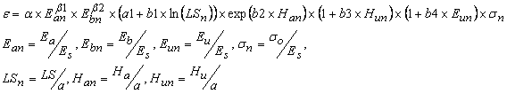
The regression equation for tensile strain at the bottom of an AC overlay on a cracked AC pavement is based on a large number of finite element calculations, and assumes a dual wheel on a single axle:

where Ea is the modulus of the overlay,
Ha is the thickness of the overlay,
Eu is the modulus of the underlayer,
Hu is the thickness of the underlayer,
Eb is the modulus of the base/sub-base,
Es is the modulus of the subgrade,
LS is the crack spacing,
so is the tire pressure, and
a is the radius of the loaded area for one wheel.
The following constants were used:
α = 342650, β1 = -0.73722, β2 = -0.2645, β3 = -1.16472, a1 = 0.88432,
b1 = 0.15272, b2 = -0.21632, b3 = -0.061, b4 = 0.018752.
AC on PCC
Reflection of cracking through an AC layer on a PCC support was also determined through a large number of finite element calculations. The equations and parameters used for AC on PCC are given in AC on PCC Strain Calculator.xls.